First, some general rules to remember:
Adding or subtracting rational expressions is a four-step process:
Example 1
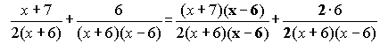
Step 1: To find a common denominator, start by factoring the denominators of both fractions.
![]()
The least common denominator of these two fractions is 2(x+6)(x-6).
Looking at the first fraction, we can see that the factor missing from its denominator is (x-6). In the next step, we'll multiply the top and bottom of the first fraction by (x-6).
Looking at the second fraction, we can see that the factor missing from its denominator is 2. In the next step, we'll multiply the top and bottom of the second fraction by 2.

Step 2: Now that the fractions have the same denominators, we'll create one combined fraction by adding the two fractions together:

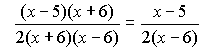
Step 3: We'll simplify the top of the fraction. Notice that we are only simplifying the top of the fraction; the bottom of the fraction remains unchanged.

Step 4: Now we'll reduce the fraction to lowest terms

Example 2
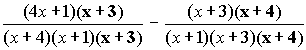
Step 1: To find a common denominator, start by factoring the denominators of both fractions.
![]()
The least common denominator of these two fractions is (x+4)(x+1)(x+3).
Looking at the first fraction, we can see that the factor missing from its denominator is (x+3). In the next step, we'll multiply the top and bottom of the first fraction by (x+3).
Looking at the first fraction, we can see that the factor missing from its denominator is (x+4). In the next step, we'll multiply the top and bottom of the first fraction by (x+4).

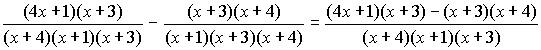
Step 2: Now that the fractions have the same denominators, we'll create one combined fraction by adding the two fractions together:

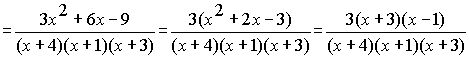
Step 3: We'll simplify the top of the fraction. Notice that we are only simplifying the top of the fraction; the bottom of the fraction remains unchanged.

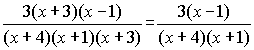
Step 4: Now we'll reduce the fraction to lowest terms
